
Solve-toiminnon tehokäyttöä
Yllä oleva yhtälö voidaan ratkaista kahdella erilaisella tavalla:

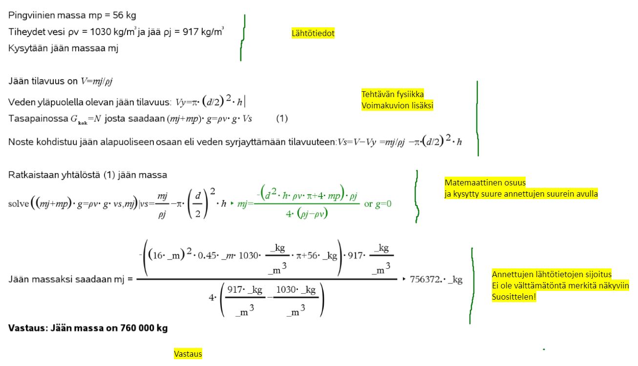
Solve-ruudussa voidaan tehdä useampia määrittelyjä käyttäen pystyviivaa | ja komentoa and


Solve-toiminnon tehokäyttöä
Yllä oleva yhtälö voidaan ratkaista kahdella erilaisella tavalla:

Solve-ruudussa voidaan tehdä useampia määrittelyjä käyttäen pystyviivaa | ja komentoa and
