Lepo- ja liikekitka
Lepo- ja liikekitka
- Lepo- ja liikekitka tulee eritellä
- Lepokitkan erityistapaus:
- Täysin kehittynyt lepokitka eli lähtökitka eli lepokitkan maksimiarvo
- HUOM! Lähtökitkan käyttö tulee aina perustella!
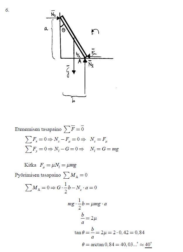
Alla on YO-tehtävä 6 / Kevät 2011 ja sen ratkaisu
Mieti, mitä puutteita ratkaisussa on.

